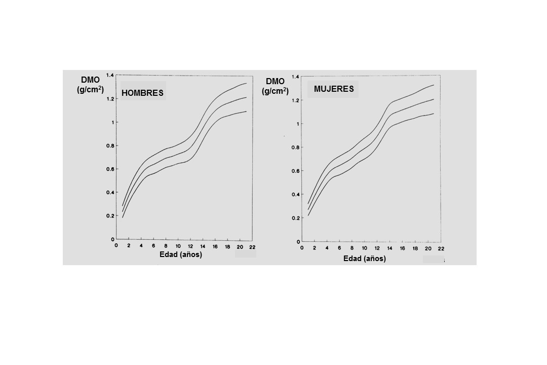
Figura 5 - Evolución de la densidad mineral ósea en la infancia y adolescencia

Valores en gramos de hidroxiapatita/cm2 (media ± 1 DE)